近日,地球化学领域国际顶级SCI期刊《Chemical Geology》(中科院分区二区Top期刊)在线刊发了beat365数理教学部应用数学专业研究生王晴晴同学为第一作者,史训立副教授为通讯作者,以“An accurate model for the solubilities of anhydrite in H2O–NaCl solutions at temperatures up to 1073 K, pressures up to 14,000 bar, and mole fractions of NaCl up to 0.3”为题的学术论文。
文章以热力学基本原理为基础,利用数理统计多元回归的方法,结合文献中实验数据构建了石膏在含NaCl水溶液中的高精度溶解度模型,并利用该模型成功分析和解释了常与CaSO4伴生的矽卡岩或玢岩型铁矿的成矿原因。这一成果显著体现了beat365“资源环境+”多学科深度交叉融合的研究生培养特色。
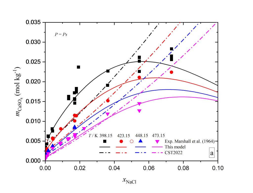
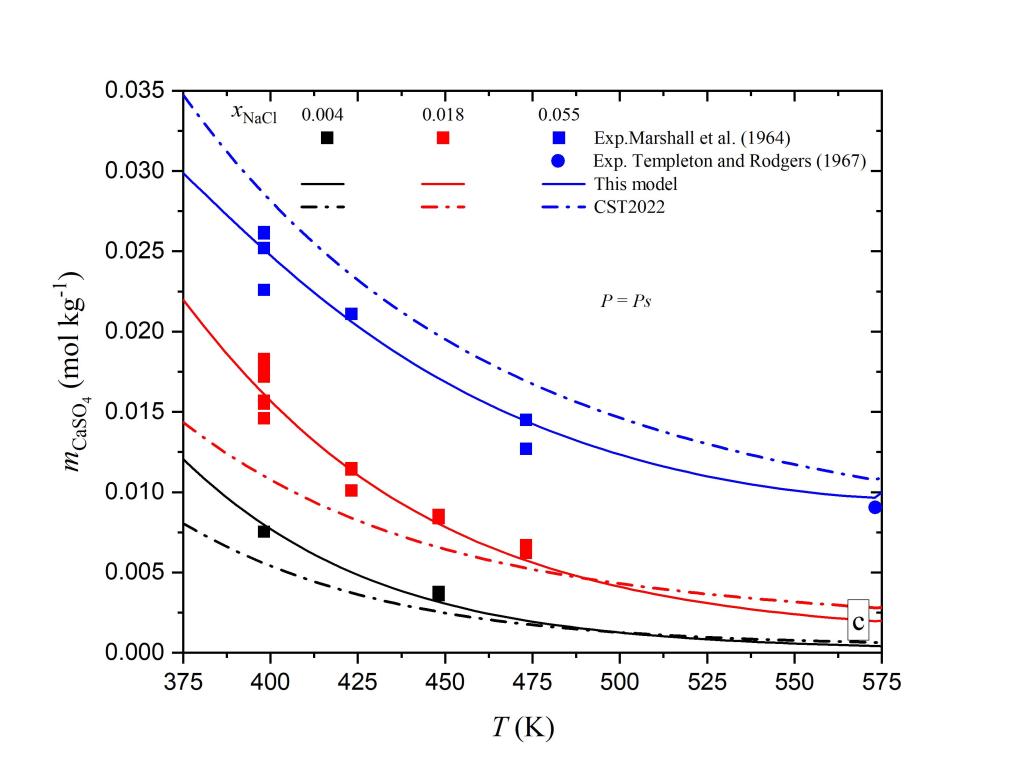
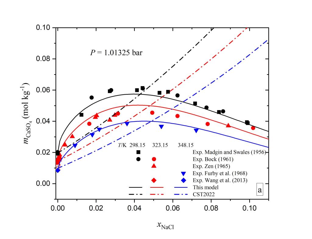
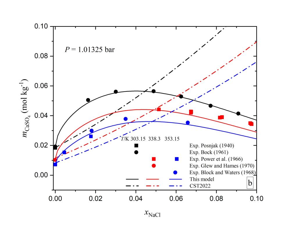
硬石膏矿物溶解度的研究在热液型矿床成矿规律、地热能源利用、CO2强化采油、湿法冶金、海水淡化等领域都具有非常重要的意义。高温高压条件下矿物溶解度的精确实验测量需要耗费大量物力和人力,现有的实验数据不论从精度上还是数量上都不完全能满足地球科学和相关工业研究的需要。适用范围宽、预测精度高的溶解度模型可以在人们感兴趣的物理化学条件下生成模拟数据。目前已有的硬石膏溶解度模型(Creaser, 2022, 图中表示为CST2022)与实验事实相比差距较大。与其它模型相比,本模型在宽广温度压力盐度范围内都具有更好的预测效果(部分图片如下)。


Fig. 5Anhydritesolubilities in aqueous NaCl solutions at saturation pressures(models vs. experimental data).




Fig. 6Anhydritesolubilities in aqueous NaCl solutions at different(models vs. experimental data).


Fig. 9Model calculated results at experimental conditions.
文章中利用该模型可以很好地分析和解释常与CaSO4伴生的矽卡岩或玢岩型铁矿的成矿原因。矽卡岩型或玢岩型铁矿床通常与富含硬石膏和碳酸盐的蒸发盐层伴生。以硬石膏为主的蒸发岩对铁矿床的形成有多种促进机制。蒸发盐层大多位于3–6 km的深度,硬石膏矿床通常比蒸发岩浅(位于Fig. 10中黑色粗线上部区域)。在此深度范围内流体向上迁移引起的温度和压力改变并不能造成铁的大规模沉淀,而盐度的改变才是造成铁矿沉淀生成的主要原因。热液系统是含有岩浆水和循环大气降水的多种流体的混合物,当这些流体迁移并与岩石相互作用时,盐度通常会发生变化,Fig. 10中的紫色粗线所示的盐度值代表硬石膏最大的溶解度条件,如果盐度偏离了此盐度值流体将会析出硬石膏,进而造成矽卡岩或玢岩型铁矿的形成。

Fig. 10 Constant composition curves representinganhydrite solubilityin NaCl-H2O solutions at an average temperature-pressure conditions within the crust.
近年来,beat365学位与研究生教育注重全过程规范化管理,从招生、培养、学位授予等各个环节,不断提升质量标准,尤其是在以“资源环境+”为背景的多学科交叉研究领域产生了一大批研究成果。
该工作是在国家自然科学基金项目(No.42073056)和河北省教育厅重点项目(No.ZD2020165)资助下完成的.
原文信息:Wang Qingqing, Zhang Lin, Hu Jiawen, Shi Xunli. An accurate model for the solubilities of anhydrite in H2O–NaCl solutions at temperatures up to 1073 K, pressures up to 14,000 bar, and mole fractions of NaCl up to 0.3[J]. Chemical Geology, 2024, 650: 122001.https://doi.org/10.1016/j.chemgeo.2024.122001